近期,Ocean Modelling在线发表了海洋与大气学院科研成果“West-East Asymmetry in the South Pacific Western Subtropical Mode Water(南太平洋副热带西部模态水的东-西不对称性)”。该成果第一作者为海洋与大气学院博士研究生王雪莹,通讯作者为海洋与大气学院罗义勇教授和青年教师王颖颖博士。
南太平洋副热带模态水(STMW)是副热带海洋密跃层中广泛存在的重要水团,包括西部模态水(SPWSTMW)和东部模态水(SPESTMW)。这两类水团作为太平洋副热带翻转环流的重要组成部分,其在海洋热量吸收、营养物质循环及气候变化中扮演关键角色。团队前期研究指出南太平洋副热带西部与东部模态水的体积变化存在“跷跷板”式的反位相年际变化。这种变化主要受ENSO调控,在厄尔尼诺年,SPWSTMW体积增大而SPESTMW体积减小,拉尼娜年则相反(Wang et al., 2025)。近期,基于高分辨率模式数据和Argo观测数据的深入分析,研究团队发现SPWSTMW并非均一分布,而是以160°E为界,在厚度分布上呈现出显著的东西不对称特征(图1a)。西部区域(150°E-160°E)位于环流结构复杂的东澳大利亚海流附近,水团总体温度更高,核心层强度相对较弱,而东部区域(160°E-170°W)涡旋活动弱,水团较冷且核心层强度高(图1)。
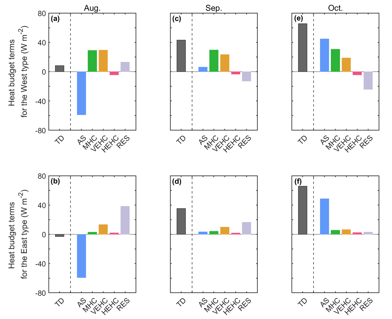
SPWSTMW东西区域的时间变化特征和驱动机制存在显著差异。在季节变化尺度上,西部水团的形成比东部水团提前约一个月,这一现象主要归因于东澳大利亚海流的平均流与涡旋活动,二者共同为西部水团形成区上层海洋带来额外的热量辐合(图2),有效补偿了冬季海表热量损失,加速了上层海洋的再层化和潜沉过程,从而加快西部水团形成。在年际变化尺度上,东部水团体积与ENSO显著正相关。在厄尔尼诺时期,异常增加的海表失热的有利于混合层的加深,从而促进东部水团形成。而西部水团体积变化与ENSO相关性不显著,这是由于西部水团形成区上层海洋热含量受到海表热通量、平均流热输运和涡致热通量之间相互作用的共同调控,其体积变化与东澳大利亚海流强度相关。尽管存在东西差异,但整体来看,SPWSTMW的体积变化由东部水团主导,呈现出厄尔尼诺时期体积增大而拉尼娜时期体积减小的年际变化特征。

图1. (a)SPWSTMW厚度的空间分布(单位:m)。黑框为本文研究区域(20°S–40°S,150°E-170°W),黑色虚线位于160°E,将SPWSTMW分成东西两部分。(b)33°S–35°S垂直温度梯度(颜色;单位:°C/10 m)在8月至10月的平均分布。黑色等值线是等温线,加粗的14°C和20°C等温线用于界定SPWSTMW的上下温度范围。红色曲线表示混合层深度。(c)西南太平洋环流系统(黄色箭头)与海底地形分布(颜色;单位:m)。南赤道流(SEC)、东澳大利亚急流(EAC jet)、东澳大利亚回流(EAC return flow)、东澳大利亚海流延伸体(EAC extension)、塔斯曼锋(Tasman Front)和东奥克兰流(EAUC)均被标注在图中。品红色等值线标示了SPWSTMW厚度大于120m的区域。(d)海表涡旋动能(单位:m2 s–2)的空间分布。

图2.气候态区域平均上层海洋热收支各项(单位:W m–2):(a, b)8 月,(c, d)9 月,(e, f)10 月。第一行为西部水团结果,第二行为东部水团结果。各项分别为:温度变化率(TD)、海表热通量(AS)、平均流热辐合(MHC)、垂直涡动热辐合(VEHC)、水平涡动热辐合(HEHC)及残差项(RES)。
相关论文信息:
Wang, X., Luo, Y., Wang, Y., & Chen, R. (2026). West-East asymmetry in the South Pacific Western subtropical mode water. Ocean Modelling, 200, 102670.
Wang, Y., Luo, Y., Qu, T., & Wang, X. (2025). A seesaw in the South Pacific western and eastern subtropical mode waters. Environmental Research Letters, 20(1), 014004.
文章链接:https://doi.org/10.1016/j.ocemod.2025.102670
